| 일 | 월 | 화 | 수 | 목 | 금 | 토 |
|---|---|---|---|---|---|---|
| 1 | ||||||
| 2 | 3 | 4 | 5 | 6 | 7 | 8 |
| 9 | 10 | 11 | 12 | 13 | 14 | 15 |
| 16 | 17 | 18 | 19 | 20 | 21 | 22 |
| 23 | 24 | 25 | 26 | 27 | 28 | 29 |
| 30 |
- 전복 김밥
- 일엽편주
- 직관
- 아이오닉5
- 술담화
- 원정
- 오스너예가다이얼
- 제주도 자전거여행
- 환상자전거길
- 오블완
- 5G
- LG TECH CONFERENCE 2023
- 원정응원단석
- 롯데시네마 현풍
- 프로야구
- 후기이벤트참여
- V1구역
- 티스토리챌린지
- SK 와이번스
- network slicing
- 제주 담스테이
- 텐동텐야
- 신해바라기 분식
- 담화탁주
- 올스타전
- 제주도
- 드림라이브존
- 리클라이너석
- 창원nc파크
- sk와이번스
- Today
- Total
개루프이득의 블로그
다양한 적분 방법 : 삼각치환법과 부분 분수를 이용한 적분 본문
내 기억에는 이 내용들은 거의 대부분 고등학교 때에도 배웠던 것 같다. (아님 말고)
이번에는 내가 조교하는 과목이 본수업에서 적분에 대해서 배우게 되면서, 그런 적분을 위한 기본적인 테크닉 들 중 하나인 삼각치환법과 부분 분수를 이용한 적분에 대해서 공부를 했다.
1. 삼각치환

삼각치환의 경우는 간단하게 말하면, 적분변수를 삼각함수로 치환하여 적분을 쉽게 해주는 치환적분법이라고 할 수 있다. 크게 적분변수를 tan, sin, sec의 꼴로 치환을 해주는 방법이 있고, 이런 치환이 유용한 적분 꼴은 위의 그림과 같다. 또한, 치환적분을 하게 되면 중요한 것이 원래의 변수로 돌려주는 것 이기 때문에 치환해준 변수에 따라 그 변수의 범위를 잘 지정해주는 것이 중요하다고 할 수 있다.
삼각치환을 쓰는 과정은, 먼저 적분하는 함수가 삼각치환을 하면 편리한 꼴인지를 확인하고, 변수를 치환하면서 변수의 범위를 지정해주며 그 범위에 맞게 적분을 하고 원래 변수로 돌려주면 된다.
예제를 통해 확인을 해보자.

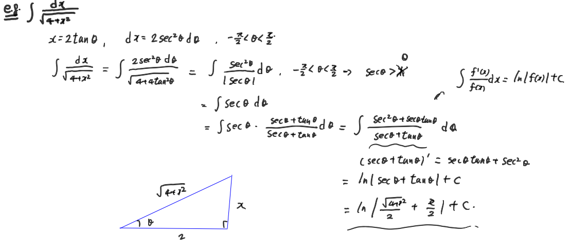
첫번째 예제의 경우는 대놓고 tan 함수로 치환하라는 꼴이고, 그대로 치환을 해서 theta의 범위를 고려해주면서 풀어주면 sec함수에 대한 적분으로 정리가 된다. 이걸 공식으로 외우는 사람도 있겠지만, 간단하게 적분을 풀어주면 ln(abs(sec(theta) + tan(theta))) + C 로 정리가 되며, 원래의 변수 x로 바꿔주기 위해 theta에 대한 단위 삼각형을 그려주어서 다시 x에 대한 식으로 표현해주어 적분 결과를 표현해준다.

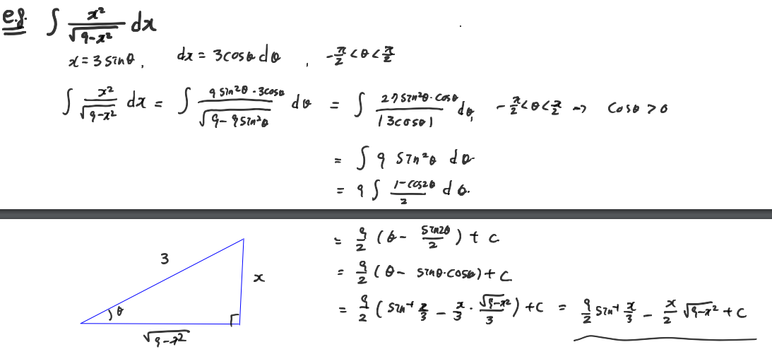
다음 예제는 sin함수로의 치환꼴이며, 이 예제 역시 그대로 과정을 따라가면 크게 어려움은 없을 것 같다.

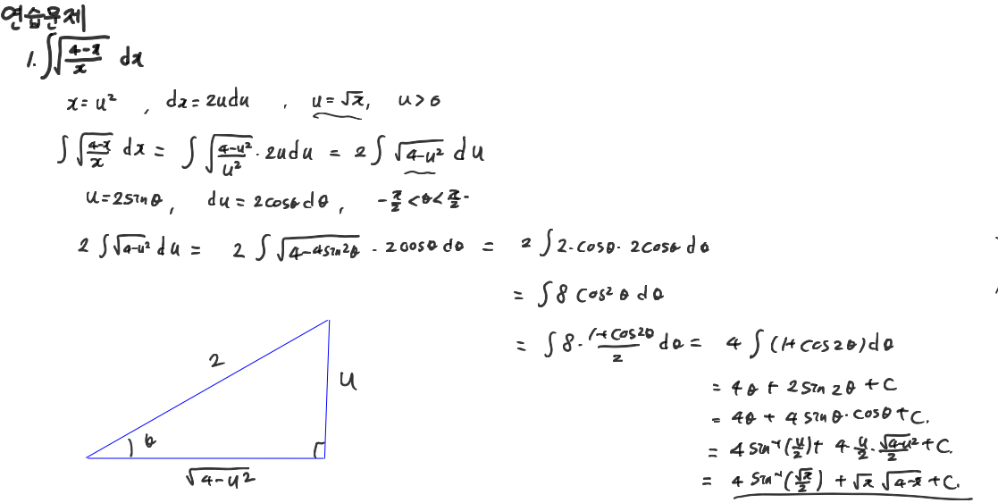
다음은 삼각치환을 활용한 연습문제인데, 이번에는 적분식이 처음부터 삼각치환에 유용한 꼴로 보이지는 않는다. 하지만, 일단 x = u^2으로 치환을 해서 정리를 해주면 sin으로의 삼각치환꼴로 식이 정리가 되며, 다시 u를 sin에 대해서 치환을 해서 풀어주면 된다. 그리고 마지막에는 다시 x에 대한 식으로 써주게 된다. 이렇듯 처음에는 삼각치환꼴로 보이지 않지만, 적절한 치환을 통해서 이를 풀기 쉽게 바꿔줄 수 있는데, 이러한 경우는 많은 경험을 통해 직관이 생겨야 하는 부분 같다.
2. 부분 분수를 이용한 적분

부분 분수란, 분수꼴의 함수를 분모의 인수들을 분모로 하는 분수 함수의 합으로 나타내어 주는 것을 의미한다. 그래서, 분자의 차수가 분모의 차수보다 작고, 분모의 인수를 아는 경우 부분 분수로 나타내어줄 수 있는데, 부분 분수로 식을 나타내어주면 적분의 표현이 여러 간단한 함수의 합으로 바뀌게 되므로 더 쉽게 적분을 해줄 수 있게 된다.
예제 문제를 보면, 일단 분자의 차수가 더 크기 때문에, 이를 큰 부분을 빼어주고 다시 표현을 해준 뒤에, 부분 분수로 표현하여 적분을 풀어주게 된다. 이때 부분 분수들의 계수 A, B는 간단하게 연립방정식을 이용해서 구해줄 수 있게 된다.
하지만, 분모의 인수들이 많아질 수록, 이 연립방정식은 복잡해지고 쉽게 해를 구하기 힘들게 될 수도 있다. 그래서 이 계수들을 쉽게 구하는 방법에 대해 소개를 하고자 한다.

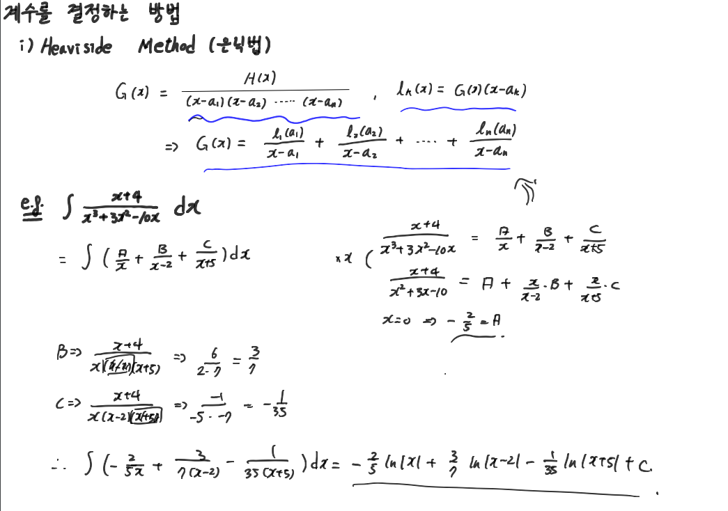
첫번째 방법은 Heaviside method로, 분수함수의 분모의 계수가 모두 1차식으로 표현이 될 때 사용 가능하다. 이 방법이 은닉법이라고도 불리는데, 그 이유는 원래 함수에서 구하고자하는 계수의 인수부분만 가리고 대입을 하면 그 값이 계수가 되기 때문이다.
예제를 통해 살펴보면, 적분식의 함수는 부분 분수로 표현해주면, A, B, C의 계수만 구해주면 된다. A를 구해주기 위해서 자세히 살펴보면, 원래 식을 부분분수꼴로 나타내어준 항등식에서, 항등식의 성질을 이용해 양변에 A부분의 인수인 x를 곱해주고, 그 식에서 x=0을 대입해주면 A가 바로 나오게 된다. 그리고 이 과정이 위에서의 정의와 논리적으로 같다는 것을 확인할 수 있다. 이제 이 방법이 성립한다는 것을 알았기 때문에, B와 C는 대입을 통해 빠르게 구해줄 수 있고, 적분 결과 역시 바로 구해줄 수 있게 된다.

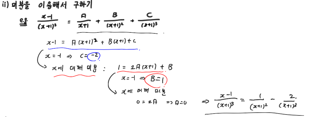
또 다른 방법으로는, 미분을 이용해서 구해줄 수도 있다. 예제와 같이, A B C를 알고 싶으면 항등식 표현에서 순서대로 대입을 해주고, 다시 미분을 해주면서 C, B, A를 구할 수 있게 된다.

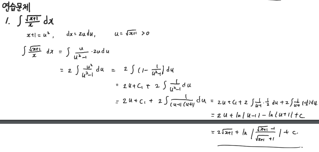
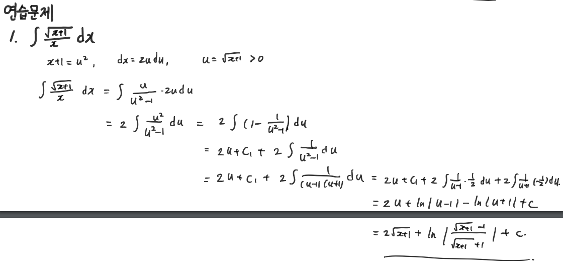
마지막으로, 부분분수를 활용하는 연습문제를 풀어보면, 이 문제 역시 부분분수 표현하기 좋은 꼴은 아니지만, x+1 = u^2으로 치환을 해주면, 부분분수꼴로 나타내어지며, 이를 이용해서 부분분수로 쉽게 풀어줄 수 있다는 것을 확인할 수 있다.
이번에는 쉬운 내용이라 정리할까 말까 하다가 일단은 정리해서 올려본다.
<추가된 내용>
이 수업들을 원격으로 해서 내 유튜브 계정에 수업 영상들이 남아있었는데, 혹시나 해서 일부공개는 그대로 넣어놓고 재생목록을 만들어두었으니 도움이 될지는 모르겠지만 관심 있으면 아래에서 영상도 확인할 수 있습니다.
https://youtube.com/playlist?list=PLT8Ck3FhPFERRvX1Y1_Ukq97u6z6pkyCG
'전공 공부' 카테고리의 다른 글
| 행렬의 기초 (0) | 2020.04.21 |
|---|---|
| 수치적 적분: 적분의 근사 방법 (0) | 2020.04.07 |
| 함수의 극한 정의 : 입실론-델타 논법 (4) | 2020.03.24 |
| Delay jitter란 무엇이고, 왜 필요할까 (2) | 2019.11.14 |
| Edge Computing이란? (0) | 2019.08.25 |